Uniswap v2对于流动性提供者来说仍然是好的选择吗?
作者:Atis Elsts,EDI高级研究员 来源:X,@atiselsts_eth 翻译:善欧巴,金色财经
本文研究了以太坊主网上的 Uniswap v2 WETH/USDC 池,从三个角度对其进行研究:背离损失、损失与再平衡(LVR)以及订单流的性质。研究结果表明,v2 对于低风险投资者来说仍然是一个可行的选择,成功地以 LP 费用的形式夺回了大部分 LVR,其中大部分交易量来自有机交易。
Uniswap v2 于 2020 年 5 月推出,Uniswap v3 于 2021 年 5 月推出。在其生命周期的大部分时间里,v2 与后续版本共存并保持竞争。这让很多人感到惊讶,包括 Uniswap 的发明者:

一种流行的观点是,Uniswap v2 和其他简单的 AMM 只适合长尾资产,而对于 ETH/稳定币和 ETH/WBTC 等主要货币对,几乎所有交易量都来自 MEV 机器人。
无论如何,这并不是一个普遍的观点。最初的LVR 论文作者研究了 2021-2022 年的 Uniswap v2,并得出结论,这对 LP 来说非常好。然而,值得注意的是,2023 年加密货币交易量大幅下降。
背离损失视角
2023 年,ETH 的起价略低于 1200 美元,收盘价接近 2300 美元。这种变动导致了相对较高的发散损失(DL;也称为无常损失)。具体来说,2023 年的 DL 几乎恰好是 5%——也就是说,与 v2 池中的 LP 头寸相比,如果 LP没有收取任何费用。
然而,在考虑费用时,LP 回报在一年中的大部分时间都优于 50:50 HODL 策略。下图显示,截至 10 月份,他们的相对利润超过 4%,年底利润在 1% 到 2% 之间。


在价格定向波动较小的另一年,有限合伙人的回报会更加有利。
LVR视角
LVR 的简短回顾。散度损失是一个直观的指标,因为它描述了与任何 LP 无需太多努力即可实现的简单替代策略相比的 LP 回报。然而,实现的深度学习取决于市场走势,因此也取决于运气。对冲市场风险的有限合伙人可以消除这种运气成分,并且 DL 不再是衡量其回报的相关指标。此外,LVR 甚至与不进行对冲的 LP 相关,因为 DL 的预期值 (EV) 可以建模为价格波动的函数,并且是确定性的(即不依赖于运气)。LVR 指标旨在捕捉 LP 回报的预期值。

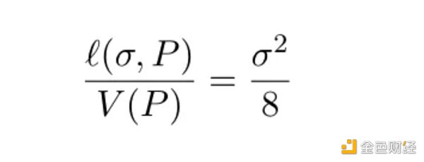
损失与再平衡(LVR) 旨在衡量与 AMM 相关的特定风险。理论上,LVR代表套利者可以从LP中获取的最大利润。对于 Uniswap v2 矿池,我们可以使用以下简单的公式计算单位时间的损失占矿池市场价值的一部分:

其中 P 是价格,V(P) 是矿池的价值函数。下图包括 7 天平均值σ和相应的 LVR,提供了这一点的直观表示。

从LVR角度来看LP回报。2023 年,Uniswap v2 上的 ETH/USDC 流动性配置仍然是正预期价值博弈。手续费收入持续超过理论LVR。

而且平均日手续费收入高出0.01%左右。这个保证金使我们能够估计有限合伙人在保持盈利的同时可以产生的最大对冲成本。如果平均对冲成本每日低于 0.02%(因为只有一半的头寸价值需要对冲),则该策略仍然可行。(就其价值而言,如果愿意的话,人们通常可以通过做空 ETH 来获利,因为加密货币融资利率通常为正。)
将此与 Uniswap v3 池进行对比(见下文)。在这里,被动的全方位头寸通常会赚取与 LVR 损失相当的费用,这表明此类头寸的预期价值徘徊在零附近。为了在 v3 中获利,人们需要准确预测价格范围或方向变动,使其更多地与主动交易而不是被动收入保持一致。

请记住,LVR 是 CEX/DEX 套利者理想条件下的理论最大损失。它假设有限合伙人不会从这些交易中赚取任何掉期费用,但现实情况并非如此。LVR 的一部分通过掉期费用被 LP 收回,而一些收入则通过固定成本交易 (tx) 费用泄漏到网络中。确切的分布主要取决于两个因素:
矿池的掉期费用(Uniswap v2 为 0.3%)
固定成本交易费用造成的摩擦。
这种摩擦与矿池的流动性深度成反比。因此,用池中锁定值的基点 (bps) 来表达这一点是实用的。v2 WETH/USDC 池锁定了 5000 万至 1 亿美元,即使在 Eth 主网上,相对交易成本也相对较低。使用具有 30 GWei Gas 价格和每笔交易 150,000 Gas 的简单模型,下图显示了以 bps 为单位的成本。

该模型显示成本可能会下降 0.0005 bps 至 0.002 bps 范围。利用这个范围和资产的平均波动率,我们可以模拟理论LVR的APR和仅来自套利交易的费用收入的ARP。
使用σ = 3% 每日(对于 2023 年的 ETH 来说偏高),我们得到 4.1% 的预期 LVR 和 3.2 至 3.6% 的预期费用收入;参见下图。

该模拟意味着该池能够以掉期费用重新获得 LVR 的 80-85% 左右。
这意味着另一个指标与衡量 LP 指标相关:toxic_flow/all_flow池中的比例。我在toxic_flow这里指的是通过对 CEX 流动性进行套利来创造 LVR 的所有交易。考虑一下:如果有毒流量创建的 LVR 中的x%已经通过流量本身的掉期费用得到补偿,那么接下来的(100 - x)%必须从其他类型的流动性挖矿奖励中得到补偿,对于LP 补偿其所有 LVR 预期损失。
在这里,约 80% 的 LVR 已经得到补偿,因此池中至少 20% 的交易量必须通过无毒互换创建,LP 才能保持盈利。现在,池中的真实比例是多少?
交易流程视角
交易流的分类并不是一件容易的事。幸运的是,在这种情况下,一个近似的答案就足够了。
为了区分通过池的不同类型的交易,我编写了一个脚本来查看每个交换事件的sender和to地址,并检查这些地址是否属于:
已知路由器和聚合器地址的列表。根据Gauntlet 分析的惯例,此类交易被称为“核心”交易量。
已知的 MEV 机器人地址列表。MEV 机器人流量进一步分为三明治量和其他套利量。
该脚本不太可能接近 100% 准确,但提供了有关流类型的一些想法。此外,并非所有套利交易都会对池中的有限合伙人产生毒性;其中一些是原子套利,可能会吸引其他池中的有限合伙人或支持核心交易者。
下图显示了 v2 池中的总容量。此次大幅上涨与 3 月份 USDC 脱钩事件相对应。

下图显示了按日交易量标准化的情况。

最后,饼图汇总了全年的信息。

如上图所示,该池中的大部分卷与第一个地址列表交互。由于池中 0.3% 的掉期费相对较高,因此只有百分之几的交易量属于三明治交易。
总结核心和夹层体积,我们可以得出结论,至少 78% 的体积对 LP 是无毒的。显然,这个数字远高于要求的最低 20%,之前估计 20% 是 LP 盈利能力的下限。
这些结果与 v3 矿池结果形成鲜明对比,后者的套利交易比例要高得多。见下文:






如上图所示,MEV 机器人主导了 v3 池容量。还值得注意的是,与 0.3% v2 池相比,0.3% v3 池的三明治体积非常小。v3 池中的虚拟流动性要深得多,因此需要更大的掉期来使价格足以使攻击有利可图。0.05% 的资金池具有更深的虚拟流动性,但由于掉期费用降低,它实际上对三明治交易者非常有吸引力。
讨论
在得出结论之前,有必要讨论一下对上述分析的一些潜在反对意见。
隐藏形式的套利导致有毒流量的低估。
争论的本质是,许多掉期可以由 DEX 聚合商通过这个池进行,这些掉期会选择陈旧的报价以确保最佳价格,并且这些掉期本质上应该被视为 CEX/DEX 套利掉期的形式。
需要更多的分析才能明确回答这个问题。然而,约 80% 的“核心”交易量与 Uniswap 的路由器合约交互,这意味着这些交换不太可能来自自定义求解器。相比之下,只有约 10% 涉及 1 英寸合约。
反对这一假设的另一个数据点是 v3 矿池套利比例的增加。我的脚本显示 MEV 数量占这些 v3 池中总量的 70-75%。为了进行比较,Gauntlet 最近的分析估计相同 v3 池中的 MEV 体积仅为 37-46% - 与我的数字相比,这是一个非常大的低估!
可以制定和研究更高级的假设,以解释为什么 v2 池不太受 MEV 机器人欢迎;然而,据我所知,“隐性套利”理论仍未得到证实。
2. V2 保持竞争力只是因为较低的 Gas 费。
反驳:简单的 USDC/ETH 互换可能会在 v2 上消耗比 v3更多的Gas(如下图),因此 v2 上活动的增加不能仅用 Gas 费来解释。原因之一是价格预言机更新会消耗 v2 池中更多的 Gas。

3.V2正在下降。
2023 年的数据尚未证实 v2 会下降,但最终一定会发生。我认为 v2 最终可能会通过多种方式失去其相关性。其中一些对有限合伙人有利,而另一些则不利。例如:
好:另一个 DEX 继承了 v2 的火炬,并提供了 v2 的优点,而没有它的大部分缺点。它可能是带有类似 v2 模式的 Uniswap v4 hooks;或现有的新型去中心化交易所之一;或者它可能是一个全新的设计。
坏处: UniswapX 或类似的聚合器成为进行链上交换的主要方式,同时继续利用主要是链下的流动性。正如 Doug Colkitt 在Twitter上所说,Uniswap X 实际上并没有为流动性去中心化做出贡献——至少目前没有。
结论
本文从分离损失、费用收入和交易量来源三个角度审视了 Uniswap v2 WETH/USDC 池,得出的结论是该池仍然是 LP 的有利选择。
尽管 ETH 价格上涨了近 2 倍,但该池能够克服 5% 的背离损失,并且在一年中的大部分时间里相对于 50:50 HODL 保持积极。
手续费收入几乎全年都超过理论LVR,平均每天约0.01%。
池中至少 63.8% 的交易量来自与 DEX 或聚合器智能合约交互的互换,而只有 28% 到 32% 的交易量来自套利机器人。大约 80% 的 DEX 和聚合器合约量专门与一个 Uniswap 路由器合约进行交互。
结果表明,即使对于短尾资产,特别是 ETH,Uniswap v2 仍然具有竞争力。鉴于其低风险特征和经过验证的回报,像这样的池中的流动性配置对于散户参与者来说是一个有吸引力的选择,为其他 DeFi 活动(包括 ETH 质押)提供了可行的替代方案。
